Svar på opgaver!

En snor rundt om Jorden:

På den måde kan vi lave en ligning:

Denne kan kun knækkes numerisk med en lommeregner og giver v = 3,5370….°

Pælens længde er vist som h. h kan regnes ud hvis vi kender v med lidt hjælp fra pythagoras:

Pælens længde skal altså være ca. 12150 m.

Trekanter:

Den kritiske læser har nok opdaget et det ikke er trekanter vi har med at gøre, men 5-kanter. Den ene er konveks og den anden konkav. Det er ikke meget, men det skjuler de to felter

Serier:

1) Svaret er 35!


2) Det næste tal er 21


3) Svaret er n(i)


4)
Det næste tal er 26


5) Det næste bogstav er M

Juleopgaver: På billedet er rullen tegnet fuld

For at løse denne opgave er man nødt til at gøre en antagelse: At længden af papir der er tilbage på rullen er proportionalt med arealet af endefladen på papirrullen. Denne antagelse falder hvis papiret ikke er rullet lige stramt op hele vejen gennem rullen.

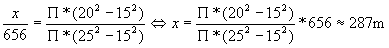
Arealet af en ring med indre radius 15cm (½ diameter) er:

Arealet af en fuld rulle (656 m papir) er:

Arealet af halvtom rulle (x m papir) er :

Julemanden har papir til 82 gyngeheste, derefter må han ud på lageret og hente en ny rulle!


Korttrick:

Egentlig ikke en svær opgave, men den besnærer mange til at gætte på ½.

Sandsynligheden er 2 / 3 = 0.6666....


Vandstand:
Svar: Den falder!

Lad os definerer søens rumfang som det der er mellem overfladen og bunden, det er nemlig det der har betydning for vandstanden. Jo større rumfang, jo højere vandstand. En del af det rumfang, er båden der fortrænger noget vand. Hvor meget vand båden fortrænger, fortæller Arkimedes os lidt om:

Opdriften er lig med massen af den fortrængte væskemængde.


Modstand:

Hvis vi sætter en spændingsforskel over A & B og måler lidt på den vil man på grund af symmetri se at der er samme spænding fra A til B, Cog D.

F, G og H har også en fælles spænding af sammen årsag.

Derfor kan man kortslutte B, C og D uden at påvirke den samlede modstand. Det kan man også med F, G og H.

Gør vi det og tegner diagrammet, bliver det til:

Nu kan vi let beregne modstanden:

Så svaret er altså 5/6 W

Tallene er kvadrattallene-1, eller X²-1, hvor X er tallets nummer i rækken.
Man kan selvfølgeligt også bruge første angrebstaktik, nemlig at kikke på den serie, som forskellen mellem to tal i rækken udgør:
(3-0),(8-3),(15-8),(35-15).... = 3,5,7,9... nemlig de ulige tal. Resultatet findes derfor at lægge 11 til 24 da 11 er næste ulige tal.
Denne metode klarer mange rækker. De tre øvrige regningsarter kan også bruges (+, * og -).

Læs også mere her om Fibonacci tal og prøv en maskine til at teste Fibonacci tal med.

e(t) , t(o), t(re), f(ire), f(em), s(eks), s(yv), o(tte) og svaret n(i)


Du kan læse mere om haglsten
her og prøve en maskine til at teste haglsten med.

Kort og godt: De store bogstaverne der kun indeholder rette linier, i alfabetisk rækkefølge.



287 m / 3.5m = 82 stk.



Hvis det hvide kort er oppe er kombinationen (sort,sort) udelukket.
Der er tre hvide sider ialt på de sidste to kort : (hvid,hvid) og (hvid,sort).
Af dem sidder de 2 begge på samme kort nemlig (hvid,hvid)
Sandsynligheden for dette kort er 2 / 3 og det er også svaret.
Sagt på en anden måde er chancen for et ensfarvet kort 2 / 3.

Båden med indhold er i ligevægt (forhåbentlig), så opdriften er lig med vægten af båden og alt der befinder sig i den. Den fortrængte væskemængde vejer altså det samme som båden med indhold. Hvert kilo fortrængt sø fylder 1 liter. Det vil sige at for hvert kilo båden vejer øger den søens rumfang med 1 liter.
Når vi smider stenen i søen øger vi søens rumfang med stenens rumfang. Båden med indhold vejer nu mindre, så den stikker ikke så dybt mere. Det vil sige vi mindsker søens rumfang med et antal liter der svarer til stenens vægt i kilo.
Da en sten sædvanligvis vejer flere kilo end den fylder i liter (massefylden > 1) er nettoresultatet at søens rumfang mindskes og søens vandstand falder derfor.


R = 1/3 W + 1/6 W + 1/3 W = 5/6 W